bluetooth TOYOTA AYGO 2016 Notices Demploi (in French)
[x] Cancel search | Manufacturer: TOYOTA, Model Year: 2016, Model line: AYGO, Model: TOYOTA AYGO 2016Pages: 480, PDF Size: 36.9 MB
Page 3 of 480

3
1
7
8
6
5
4
3
2
9
AYGO_EK_OM99L82K
4-2. Procédures de conduite
Contacteur de démarrage
(véhicules dépourvus de
système d’accès et de
démarrage “mains libres”) .... 156
Contacteur de démarrage
(véhicules équipés d’un
système d’accès et de
démarrage “mains libres”) .... 159
Boîte de vitesses robotisée
MMT ..................................... 165
Boîte de vitesses manuelle ..... 170
Commodo de clignotants ........ 172
Frein de stationnement ........... 173
4-3. Utilisation des éclairages
et des essuie-glaces
Sélecteur d’éclairage .............. 174
Sélecteur d’antibrouillards....... 178
Essuie-glace et lave-glace
de pare-brise ........................ 180
Essuie-glace et lave-glace
de lunette arrière .................. 182
4-4. Ravitaillement en carburant
Ouverture du bouchon de
réservoir de carburant .......... 184
4-5. Système Toyota Safety Sense
Système Toyota Safety
Sense ................................... 188
PCS (Système de sécurité
de pré-collision) .................... 193
LDA (Alerte de sortie
de voie) ................................. 203
4-6. Utilisation des systèmes
d’aide à la conduite
Limiteur de vitesse .................. 208
Système Stop & Start.............. 212
Systèmes d’aide
à la conduite ......................... 218
4-7. Conseils de conduite
Conseils de conduite
en hiver .................................224
5-1. Manipulations de base
Types de systèmes audio ........228
Commandes audio
au volant................................230
Prise AUX/prise USB ...............231
5-2. Utilisation du système audio
Optimisation du système
audio .....................................232
5-3. Utilisation de la radio
Utilisation de la radio ...............234
5-4. Utilisation d’un appareil
externe
Écoute d’un iPod .....................239
Écoute d’un lecteur USB .........247
Utilisation de la prise AUX .......254
5-5. Utilisation d’appareils
Bluetooth®
Système audio/
téléphone Bluetooth®............255
Utilisation des commandes
audio au volant ......................261
Enregistrement d’un
appareil Bluetooth® ..............262
5-6. Menu “SETUP”
Utilisation du menu “SETUP”
(menu “Bluetooth*”) ...............263
Utilisation du menu “SETUP”
(menu “TEL”) .........................267
5-7. Bluetooth® Audio
Utilisation d’un lecteur portable
compatible Bluetooth®..........271
5Système audio
*: Bluetooth est une marque déposée de Bluetooth SIG, Inc.
Page 4 of 480

TABLE DES MATIÈRES4
AYGO_EK_OM99L82K
5-8. Téléphone Bluetooth®
Utilisation du téléphone pour
appeler.................................. 273
Utilisation du téléphone pour
recevoir un appel .................. 275
Conversation téléphonique ..... 276
5-9. Bluetooth®
Bluetooth®............................... 278
6-1. Utilisation du système de
climatisation
et du désembueur
Système de climatisation
manuel .................................. 284
Système de climatisation
automatique .......................... 290
Chauffages de sièges ............. 296
6-2. Utilisation des éclairages
intérieurs
Détail des éclairages
intérieurs ............................... 298
• Éclairage intérieur .............. 298
6-3. Utilisation des rangements
Détail des rangements ............ 299
• Boîte à gants ...................... 300
• Porte-cartes........................ 300
• Porte-gobelets .................... 300
• Porte-bouteilles .................. 301
Équipements de coffre ............ 303
6-4. Autres équipements intérieurs
Autres équipements
intérieurs ............................... 305
• Pare-soleil de pare-brise .... 305
• Miroirs de courtoisie ........... 305
• Montre ................................ 306
• Affichage de la température
extérieure ........................... 307
• Prise d’alimentation ............ 308
7-1. Entretien et soin
Nettoyage et protection de
l’extérieur du véhicule ...........310
Nettoyage et protection de
l’intérieur du véhicule ............314
7-2. Entretien
Prescriptions d’entretien ..........317
7-3. Entretien à faire soi-même
Précautions avec l’entretien
à faire soi-même ...................320
Capot .......................................324
Positionnement du cric ............326
Compartiment moteur ..............327
Pneus ......................................340
Pression de gonflage des
pneus ....................................347
Jantes ......................................349
Filtre de climatisation ...............351
Pile de la clé électronique/
télécommande du
verrouillage centralisé ...........352
Vérification et remplacement
des fusibles ...........................355
Ampoules.................................364
6Équipements intérieurs
7Entretien et soin
Page 227 of 480

227
5Système audio
AYGO_EK_OM99L82K
5-1. Manipulations de base
Types de systèmes audio ........228
Commandes audio
au volant................................230
Prise AUX/prise USB ...............231
5-2. Utilisation du système audio
Optimisation du système
audio .....................................232
5-3. Utilisation de la radio
Utilisation de la radio ...............234
5-4. Utilisation d’un appareil
externe
Écoute d’un iPod .....................239
Écoute d’un lecteur USB .........247
Utilisation de la prise AUX .......254
5-5. Utilisation d’appareils
Bluetooth®
Système audio/
téléphone Bluetooth®............ 255
Utilisation des commandes
audio au volant ..................... 261
Enregistrement d’un
appareil Bluetooth® .............. 262
5-6. Menu “SETUP”
Utilisation du menu “SETUP”
(menu “Bluetooth*”) .............. 263
Utilisation du menu “SETUP”
(menu “TEL”) ........................ 267
5-7. Bluetooth® Audio
Utilisation d’un lecteur portable
compatible Bluetooth®.......... 271
5-8. Téléphone Bluetooth®
Utilisation du téléphone pour
appeler .................................. 273
Utilisation du téléphone pour
recevoir un appel .................. 275
Conversation téléphonique ..... 276
5-9. Bluetooth®
Bluetooth®............................... 278
*: Bluetooth est une marque déposée de Bluetooth SIG, Inc.
Page 228 of 480

2285-1. Manipulations de base
AYGO_EK_OM99L82K
Types de systèmes audio
Véhicules équipés d’un système multimédia
Consultez le “Manuel multimédia du propriétaire”.
Véhicules dépourvus de système multimédia
● Type A (radio AM/FM)
● Type B (radio AM/FM avec Bluetooth®)
: Sur modèles équipés
Page 230 of 480

2305-1. Manipulations de base
AYGO_EK_OM99L82K
Commandes audio au volant
Bouton Volume
• Augmente/diminue le volume
• Appui long: Augmente/diminue
le volume en continu
Mode radio:
• Appui court: Sélection d’une
station radio
• Appui long: Recherche haut/bas
Mode Bluetooth®, iPod ou USB:
• Appui court: Sélection de piste/fichier/chanson
• Appui long: Sélection d’un dossier ou album (Bluetooth® ou USB)
Bouton “MODE”
• Mise en marche, sélection de la source audio
• Appuyez longuement sur ce bouton pour mettre au silence ou en pause
le système tel qu’il est utilisé à cet instant. Pour annuler la mise au
silence ou en pause, appuyez à nouveau longuement sur le bouton.
: Sur modèles équipés
Certaines fonctions audio sont pilotables via les commandes au volant.
L’utilisation peut être différente selon le type de système audio ou de
système de navigation. Pour plus de détails, reportez-vous au manuel
fourni avec le système audio ou le système de navigation.
Utilisation du système audio par les commandes au volant
1
2
AVERTISSEMENT
■ Pour réduire le risque d’accident
Redoublez de prudence lorsque vous utilisez les commandes au volant du système
audio.
3
Page 255 of 480

255
5
5-5. Utilisation d’appareils Bluetooth®
Système audio
AYGO_EK_OM99L82K
Système audio/téléphone Bluetooth®
◆Bluetooth® audio
Le système audio Bluetooth® vous permet d’écouter les fichiers d’un
lecteur audio numérique portable par l’intermédiaire des haut-parleurs du
véhicule grâce à une communication sans fil.
Ce système audio est compatible Bluetooth®, une norme numérique sans
fil capable de lire la musique d’un lecteur audio portable sans aucun câble.
Si votre lecteur portable n’est pas compatible Bluetooth®, le système audio
Bluetooth® ne pourra pas fonctionner.
◆Téléphone Bluetooth® (système téléphonique mains libres)
Ce système est compatible Bluetooth®, ce qui vous permet de passer des
appels et d’en recevoir avec votre mobile sans avoir besoin de brancher le
moindre fil, et sans quitter le volant des mains.
: Sur modèles équipés
La communication sans fil Bluetooth® vous permet les fonctions
suivantes:
Page 256 of 480

2565-5. Utilisation d’appareils Bluetooth®
AYGO_EK_OM99L82K
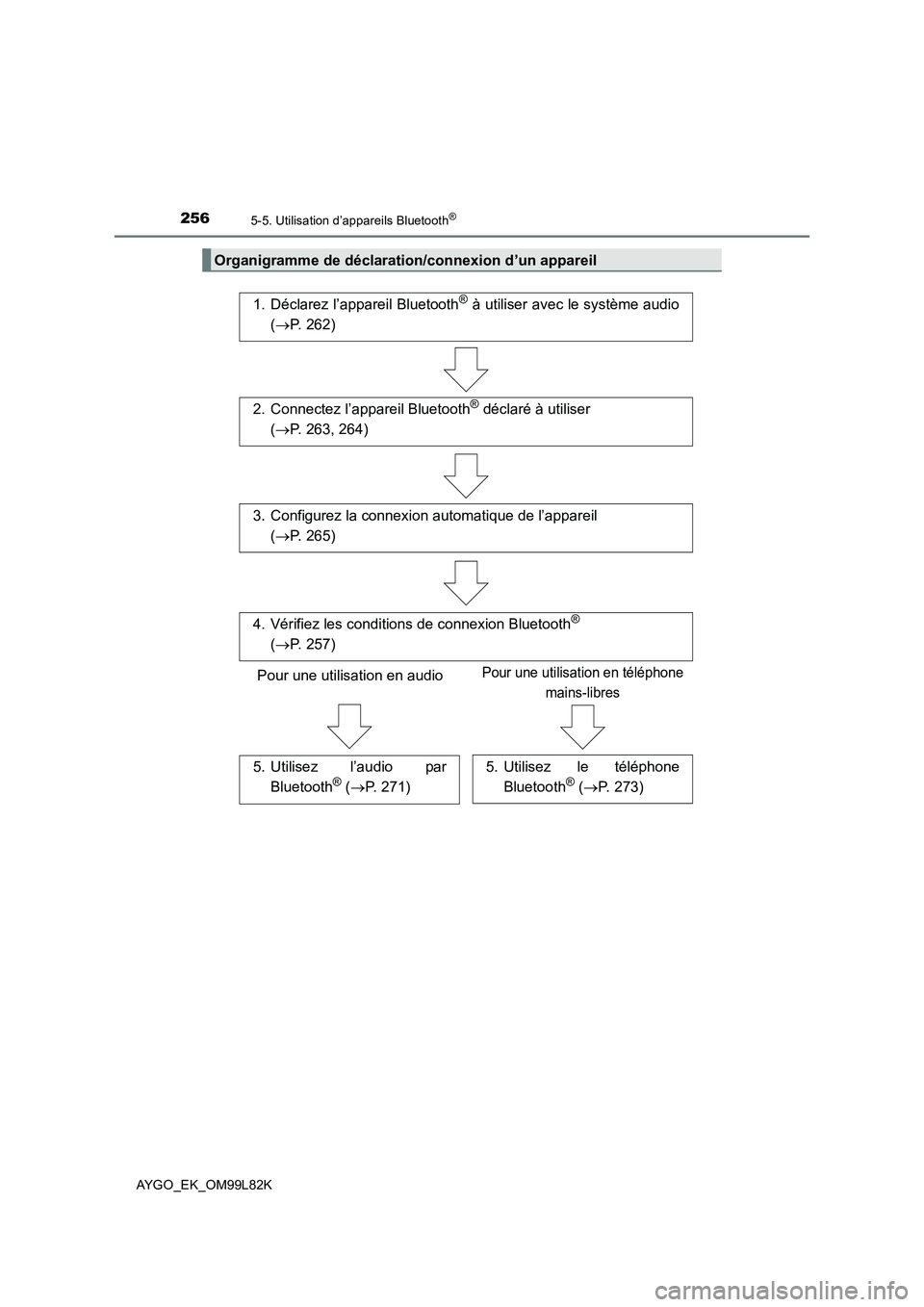
Organigramme de déclaration/connexion d’un appareil
1. Déclarez l’appareil Bluetooth® à utiliser avec le système audio
( P. 262)
2. Connectez l’appareil Bluetooth® déclaré à utiliser
( P. 263, 264)
5. Utilisez l’audio par
Bluetooth® ( P. 271)
5. Utilisez le téléphone
Bluetooth® ( P. 273)
4. Vérifiez les conditions de connexion Bluetooth®
( P. 257)
Pour une utilisation en audioPour une utilisation en téléphone
mains-libres
3. Configurez la connexion automatique de l’appareil
( P. 265)
Page 257 of 480

2575-5. Utilisation d’appareils Bluetooth®
5
Système audio
AYGO_EK_OM99L82K
Bouton marche-arrêt/volume
Appui: Mise en marche et arrêt du
système audio
Rotation: Réglage du volume
Conditions de connexion
Bluetooth®
Si “BT” n’est pas affiché, cela indique
que le système audio/téléphone
Bluetooth® n’est pas fonctionnel.
Affichage
Un message, un nom, un nombre, etc. est affiché.
Les caractères en minuscules et les caractères spéciaux peuvent ne pas
s’afficher.
Sélecteur “MENU”
Affichage du menu de configuration ou sélection des éléments (menu et
numéro par exemple)
Rotation: sélection d’un élément
Pression: Affichage du menu de configuration et validation de l’élément
sélectionné
Sélection des numéros abrégés (utilisation en téléphone Bluetooth®)
Commande de raccrochage du téléphone
Arrêter/finir un appel/refuser un appel avec le système mains libres
Commande de décrochage du téléphone
Marche/passer un appel avec le système mains libres.
Appui long: Affichage des informations trop longues pour être affichées en
une fois à l’écran (utilisation en audio par Bluetooth®)
Système audio
1
2
3
4
5
6
7
8
Page 258 of 480

2585-5. Utilisation d’appareils Bluetooth®
AYGO_EK_OM99L82K
■Conditions dans lesquelles votre interlocuteur risque de ne pas vous entendre
clairement
● Vous roulez sur une route en mauvais état. (Ce qui produit un bruit de circulation
excessif.)
● Vous roulez à vitesse élevée.
● La capote en toile (sur modèles équipés) ou les vitres sont ouvertes.
● La soufflerie de climatisation est bruyante.
● Le téléphone et/ou le réseau utilisé peut avoir un effet négatif sur la qualité du son.
Microphone
Page 259 of 480

2595-5. Utilisation d’appareils Bluetooth®
5
Système audio
AYGO_EK_OM99L82K
Pour accéder à un menu, appuyez sur le sélecteur “MENU” puis naviguez
dans les menus à l’aide du sélecteur.
*: Bluetooth est une marque déposée de Bluetooth SIG, Inc.
Liste des menus du système audio/téléphone Bluetooth®
Premier
niveau
de menu
Deuxième niveau
de menu
Troisième niveau
de menuDétails d’utilisation
“Bluetooth*”
“Pairing” - Enregistrement d’un
appareil Bluetooth®
“List phone” - Liste des téléphones
portables enregistrés
“List audio” - Liste des lecteurs
portables enregistrés
“Passkey” - Modification du code
“BT power” -
Activation/
désactivation de la
connexion automatique
de l’appareil
“Bluetooth* info” “Device name”
“Device address”
Affichage de l’état de
l’appareil
“Display setting” -
Activation/
désactivation de la
confirmation de
connexion automatique
de l’appareil
“Reset”
“Reset all”
“Sound settings”
“Car device info”
Initialisation des
paramètres