sensor YAMAHA WR 450F 2006 Owner's Guide
[x] Cancel search | Manufacturer: YAMAHA, Model Year: 2006, Model line: WR 450F, Model: YAMAHA WR 450F 2006Pages: 786, PDF Size: 22.49 MB
Page 630 of 786

5 - 52
CHAS
14. Install:
•Multi-function meter bracket 1
•Multi-function meter 2
NOTE:
Pass the throttle cables 3, clutch cable 4 and
hot starter cable 5 between the multi-function
meter bracket and handle crown.
35
4
1
2
T R..7 Nm (0.7 m · kg, 5.1 ft · lb)
T R..4 Nm (0.4 m · kg, 2.9 ft · lb)
15. Install:
•Holder 1
NOTE:
•Install so that the marking on the speed sen-
sor lead aligns with the holder edge.
•Fasten the speed sensor lead to the holder
with the clamp 2.
1
2
T R..7 Nm (0.7 m · kg, 5.1 ft · lb)
STEERING
Page 631 of 786

5 - 52
CHAS
14. Montieren:
Multifunktionsanzeigen-Halte-
rung
1
Multifunktionsanzeige
2
HINWEIS:
Die Gaszüge
3, den Kupplungszug
4 und den Heißstartzug
5 zwischen
der Multifunktionsanzeigen-Halte-
rung und der oberen Gabelbrücke
verlegen.
15. Montieren:
Halterung
1
HINWEIS:
So montieren, dass die Markierung
auf dem Geschwindigkeitssensor-
Kabel auf die Kante der Halterung
ausgerichtet ist.
Das Geschwindigkeitssensor-
Kabel mit der Klemme
2 an der
Halterung befestigen.
T R..7 Nm (0,7 m · kg, 5,1 ft · lb)
T R..4 Nm (0,4 m · kg, 2,9 ft · lb)
T R..7 Nm (0,7 m · kg, 5,1 ft · lb)
14. Monter:
Support du compteur multifonc-
tion 1
Compteur multifonction 2
N.B.:
Passer les câbles des gaz 3, le câble
d’embrayage 4 et le câble du démarreur
à chaud 5 entre le support du compteur
multifonction et la couronne de poignée.
15. Monter:
Support 1
N.B.:
Le monter de sorte que la marque sur
le fil du capteur de vitesse soit alignée
sur le bord du support.
Fixer le fil du capteur de vitesse sur le
support à l’aide du collier 2.
T R..7 Nm (0,7 m · kg, 5,1 ft · lb)
T R..4 Nm (0,4 m · kg, 2,9 ft · lb)
T R..7 Nm (0,7 m · kg, 5,1 ft · lb)
14. Instalar:
Soporte del indicador multifun-
ción 1
Indicador multifunción 2
NOTA:
Pase los cables del acelerador 3, el
cable de embrague 4 y el cable de
arranque en caliente 5 entre el soporte
del indicador multifunción y la corona
del manillar.
15. Instalar:
Sujeción 1
NOTA:
Instálelo de forma que la marca del
cable del sensor de velocidad se alinee
con el borde de la sujeción.
Fije el cable del sensor de velocidad a
la sujeción con la brida 2.
T R..7 Nm (0,7 m · kg, 5,1 ft · lb)
T R..4 Nm (0,4 m · kg, 2,9 ft · lb)
T R..7 Nm (0,7 m · kg, 5,1 ft · lb)
DIRECTION
LENKUNG
DIRECCIÓN
Page 666 of 786

6 - 1
–+ELECELECTRICAL COMPONENTS AND WIRING DIAGRAM
EC600000
ELECTRICAL
EC610000
ELECTRICAL COMPONENTS AND WIRING DIAGRAM
EC611000
ELECTRICAL COMPONENTS
1Headlight
2Multi-function display
3“ENGINE STOP” but-
ton
4Clutch switch
5Diode
6Starter relay diode
7TPS (throttle posi-
tion sensor)
8Starter relay
9Fuse
0Starting circuit cut-off
relayATaillight
BNeutral switch
CStarter motor
DAC magneto
ERectifier/regulator
FIgnition coil
GSpark plug
HStart switch
IMain switch
JCDI unit
KSpeed sensor
LBatteryCOLOR CODE
B ...................... Black
Br ..................... Brown
Ch .................... Chocolate
Dg .................... Dark green
Gy .................... Gray
L....................... Blue
O ...................... Orange
R ...................... Red
Sb .................... Sky blue
W ..................... White
EC612000
WIRING DIAGRAM
FGH
I
J
K
L
1 234
56
789
0A
B C
D E
B/L
W
W
R
BR/BBr
R
BR/BBr
R
Y
Y
L/R/BBB
SbL/W
L/YBBB
WY
RY
R
LY
B
YLB/L
B
B
ON
OFF
10A
BB
OFF
START
R-BrL/W
B
BrL/W
BrL/W
L/B
-Y
Y
B
LY
B
L/WSb
B/WBBB
W/R/W
R/
BGyBrL/W
ON
STOP
O
LSbB/L
W RBrB/W
L
/
BGyWR
/B
B O
L/YSbL/R
R W
Y W
Y W
Y
L B
B
B
RRR/B
B Br B
B B B B
L/W
R
R
R R B
R
BrBr
L/W L/
W
Br B
L/B
L/B
L/R
Br
R/B
L/B L
/W
B/W
WW
/RW
RO
L
Y
ELO
B
L
Y
B/LSb*1
Sb
*2B/W
B
B
L/R L/Y L/Y
B
SbSbL/W
B
Gy
SbBB/LYO
L
*2
O B
L YL/W
B/L
*1
D
E
CI
6
H4 5
B3J
K
2FG
7
8L9
1A
*2
*1
W
B
R/W
Ch
Dg
Y
B BrRW
WRB/W
SIGNAL
+
Backup
SLCT1
SLCT2
RST
GND
BrR/WB
B
R/WBr
WRB/W
R B
W
ChDgYB
B/WWRB/WWR
0
R
W
W W
L/WB/L
Y B
RB
B
L
L
*1: For USA
*2: Except for USA
Y ...................... Yellow
B/L ................... Black/Blue
B/W .................. Black/White
L/B ................... Blue/Black
L/R ................... Blue/Red
L/Y ................... Blue/Yellow
L/W .................. Blue/White
R/B................... Red/Black
R/W.................. Red/White
Page 667 of 786

–+ELEC
ELEKTRISCHE
ANLAGE
ELEKTRISCHE BAU-
TEILE UND SCHALTPLAN
ELEKTRISCHE BAUTEILE
1Scheinwerfer
2Multifunktionsanzeige
3Motorstoppschalter “ENGINE STOP”
4Kupplungsschalter
5Diode
6Starter-Relais-Diode
7Drosselklappensensor
8Starter-Relais
9Sicherung
0Anlasssperrrelais
ARücklicht
BLeerlaufschalter
CStartermotor
DLichtmaschine
EGleichrichter/Regler
FZündspule
GZündkerze
HStarterschalter
IZündschalter
JZündbox
KGeschwindigkeitssensor
LBatterie
FARB-CODIERUNG
B..................Schwarz
Br ................Braun
Ch ...............Schokoladenbraun
Dg ...............Dunkelgrün
Gy ...............Grau
L ..................Blau
O .................Orange
R .................Rot
Sb................Himmelblau
W.................Weiß
Y..................Gelb
B/L...............Schwarz/Blau
B/W .............Schwarz/Weiß
L/B...............Blau/Schwarz
L/R ..............Blau/Rot
L/Y...............Blau/Gelb
L/W..............Blau/Weiß
R/B ..............Rot/Schwarz
R/W .............Rot/Weiß
SCHALTPLAN
*1: USA
*2: Nicht USA
PARTIE
ELECTRIQUE
COMPOSANTS ELECTRI-
QUES ET SCHEMA DE
CABLAGE
COMPOSANTS ELECTRIQUES
1Phare
2Ecran multifonction
3Bouton “ENGINE STOP”
4Contacteur d’embrayage
5Diode
6Diode du relais de démarreur
7TPS (capteur de position de papillon des
gaz)
8Relais de démarreur
9Fusible
0Relais de coupe-circuit de démarrage
AFeu arrière
BContacteur de point mort
CDémarreur
DAlternateur avec rotor à aimantation per-
manente
ERedresseur/régulateur
FBobine d’allumage
GBougie
HContacteur du démarreur
IContacteur à clé
JBoîtier CDI
KCapteur de vitesse
LBatterie
CODES DE COULEUR
B............................ Noir
Br .......................... Brun
Ch.......................... Chocolat
Dg ......................... Vert foncé
Gy ......................... Gris
L ............................ Bleu
O ........................... Orange
R............................ Rouge
Sb .......................... Bleu ciel
W .......................... Blanc
Y ........................... Jaune
B/L ........................ Noir/bleu
B/W ....................... Noir/blanc
L/B ........................ Bleu/noir
L/R ........................ Bleu/rouge
L/Y ........................ Bleu/jaune
L/W ....................... Bleu/blanc
R/B ........................ Rouge/noir
R/W ....................... Rouge/blanc
SCHEMA DE CABLAGE
*1: USA
*2: Sauf USA
SISTEMA
ELÉCTRICO
COMPONENTES Y
ESQUEMA ELÉCTRICO
COMPONENTES ELÉCTRICOS
1Faro
2Visor multifunción
3Botón “ENGINE STOP” (paro del motor)
4Interruptor del embrague
5Diodo
6Diodo del relé de arranque
7TPS (sensor de posición del acelerador)
8Relé de arranque
9Fusible
0Relé de corte del circuito de arranque
APiloto trasero
BInterruptor de luz de punto muerto
CMotor de arranque
DMagneto CA
ERectificador/regulador
FBobina de encendido
GBujía
HInterruptor de arranque
IInterruptor principal
JUnidad CDI
KSensor de velocidad
LBatería
COLORES
B ............................ Negro
Br .......................... Marrón
Ch .......................... Chocolate
Dg.......................... Verde oscuro
Gy.......................... Gris
L ............................ Azul
O............................ Naranja
R ............................ Rojo
Sb .......................... Azul celeste
W........................... Blanco
Y............................ Amarillo
B/L ........................ Negro/Azul
B/W ....................... Negro/Blanco
L/B ........................ Azul/Negro
L/R ........................ Azul/Rojo
L/Y ........................ Azul/Amarillo
L/W ....................... Azul/Blanco
R/B ........................ Rojo/Negro
R/W ....................... Rojo/blanco
ESQUEMA ELÉCTRICO
*1: USA
*2: Excepto USA
COMPOSANTS ELECTRIQUES ET SCHEMA DE CABLAGE
ELEKTRISCHE BAUTEILE UND SCHALTPLAN
COMPONENTES Y ESQUEMA ELÉCTRICO
6 - 1
6
Page 668 of 786

–+ELEC
6 - 2
MAP-CONTROLLED CDI UNIT
MAP-CONTROLLED CDI UNIT
A map-controlled, CDI ignition system is used in the WR450F.
The microcomputer in the CDI unit detects the engine speed and throttle position, thus determining
the optimum ignition timing through the entire operating range. In this way, quick throttle response
can be achieved according to various riding conditions.
Throttle position sensorCDI unitIgnition coil
Pickup coilAC magneto rotor
Function of Component
Component Function
TPS
(throttle position sensor)Detects throttle valve opening and inputs it into the computer in the
CDI unit as a throttle opening signal.
Pickup coil Detects signal rotor revolutions and inputs them into the computer in
the CDI unit as engine revolution signals.
CDI unit The signals of the TPS and pickup coil sensor are analyzed by the
computer in the CDI unit, which then adjusts ignition timing for the
operation requirements.
Principal of 3-Dimensional Control
Conventionally, ignition timing was controlled only
by engine revolutions (2-dimensional control).
However, ignition timing needs advancement also
by engine load. Thus, accurate ignition timing can
be determined by adding throttle opening to deter-
mine ignition timing (3-dimensional control).
3-D Image Map of Ignition Timing
(different from actual characteristics)
Ignition timing
Th
rot
t
le
o
peni
ngRev
o
lut
io
ns
Page 670 of 786

–+ELEC
KENNFELDGESTEUERTE ZÜNDUNG
Die WR450F ist mit einer kennfeldgesteuerten Zündung ausgestattet.
Der Mikroprozessor in der Zündbox errechnet aus der Motordrehzahl und der Drosselklappen-Posi-
tion die optimale Zündverstellung über den gesamten Betriebsbereich. Auf diese Weise kann erzielt
werden, dass der Motor unter verschiedenen Betriebsbedingungen rasch anspricht.
Funktion der Bauteile
Prinzip der Kennfeldsteuerung
Konventionelle, 2-dimensionale Zündsysteme
steuern die Zündung lediglich in Abhängigkeit
der Motordrehzahl.
Optimale Zündverstellung kann jedoch nur
dann erfolgen, wenn auch die Motorlast in
Betracht gezogen wird. Ein präziseres, 3-
dimensionales Zündsystem bezieht also die
Drosselklappen-Position mit ein.
3-dimensionales Zündzeitpunkt-Kennfeld
(gilt nicht zur Bezugnahme)
Bauteil Funktion
TPS
DrosselklappensensorErkennt die Drosselklappen-Position und leitet diese Information in
der Form eines Drosselklappen-Signals an den Mikroprozessor in
der Zündbox weiter.
Impulsgeber Erfasst die Rotor-Umdrehungen und leitet diese Information in der
Form eines Motordrehzahl-Signals an den Mikroprozessor in der
Zündbox weiter.
Zündbox Der Mikroprozessor in der Zündbox empfängt die Signale des Dros-
selklappensensors und des Impulsgebers und passt damit die Zünd-
verstellung an den Betriebsbedingungen an.
DrosselklappensensorZündboxZündspule
ImpulsgeberLichtmaschinenrotor
Zündzeitpunkt
Dro
sse
lk
la
ppen
öf
fn
ungMoto
r
dr
eh
za
hl
KENNFELDGESTEUERTE ZÜNDUNG
6 - 2
Page 671 of 786

–+ELEC
UNIDAD CDI CONTROLADA POR MAPA
En la WR450F se utiliza un sistema de encendido CDI controlado por mapa.
El microprocesador de la unidad CDI detecta el régimen del motor y la posición del acelerador y con ello
determina el reglaje óptimo del encendido a todos los regímenes. De este modo se consigue una rápida res-
puesta al acelerador de acuerdo con las diferentes condiciones de conducción.
Función del componente
Principio del control tridimensional
Tradicionalmente, el reglaje del encendido se con-
trolaba únicamente por las revoluciones del motor
(control bidimensional).
Sin embargo, el reglaje del encendido necesita
avance también por carga del motor. Por tanto, el
reglaje del encendido se puede determinar aña-
diendo la abertura del gas para determinar el reglaje
(control tridimensional).
Mapa de imagen tridimensional del reglaje del encendido
(diferente de las características reales)
Componente Función
TPS (sensor de posición del
acelerador)Detecta la apertura de la válvula de mariposa y la transmite al procesador de
la unidad CDI en forma de señal de apertura del gas.
Bobina captadora Detecta la señal de las revoluciones del rotor y la transmite al procesador de
la unidad CDI en forma de señal de revoluciones del motor.
Unidad CDI El procesador de la unidad CDI analiza las señales del TPS y de la bobina
captadora y luego ajusta el reglaje del encendido según las necesidades de
utilización.
Sensor de posición del
aceleradorUnidad
CDIBobina de encendido
Bobina cap-
tadoraRotor de la magneto CA
Reglaje del
encendido
Ap
ert
ur
a
del
a
cel
er
ad
orRev
o
luc
ion
es
UNIDAD CDI CONTROLADA POR MAPA
6 - 2
Page 710 of 786

–+ELEC
6 - 19
TPS (THROTTLE POSITION SENSOR) SYSTEM
EC690000
TPS (THROTTLE POSITION SENSOR) SYSTEM
INSPECTION STEPS
If the TPS will not operate, use the following inspection steps.
NOTE:
Use the following special tools in this inspection.
Pocket tester:
YU-3112-C/90890-03112
Check entire ignition
system for connection.Repair or replace.
Check TPS. TPS coil Replace.
Check CDI unit.TPS input
voltageReplace.
OK
OK
No good
No good
No good
Page 712 of 786

–+ELEC
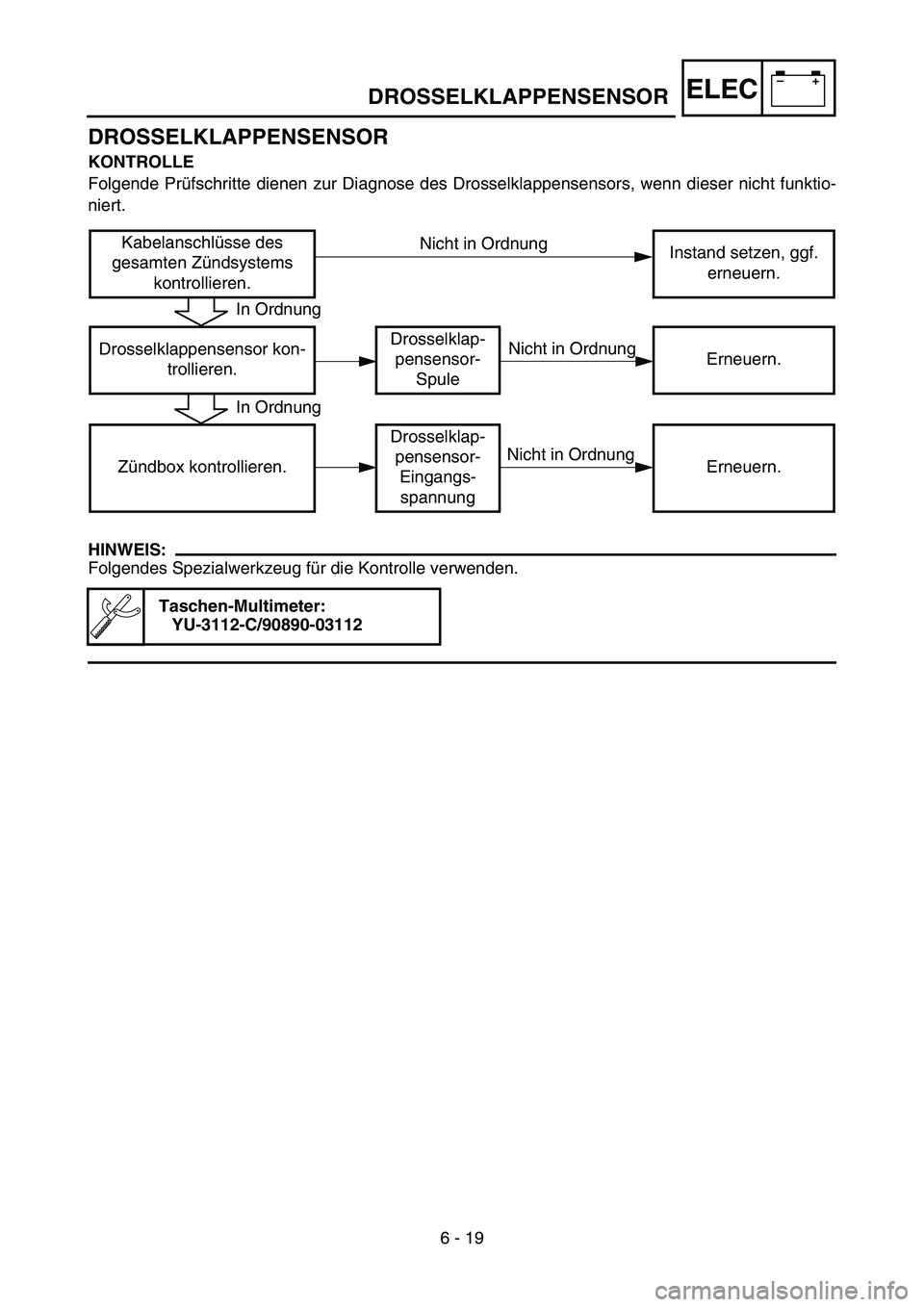
DROSSELKLAPPENSENSOR
KONTROLLE
Folgende Prüfschritte dienen zur Diagnose des Drosselklappensensors, wenn dieser nicht funktio-
niert.
HINWEIS:
Folgendes Spezialwerkzeug für die Kontrolle verwenden.
Taschen-Multimeter:
YU-3112-C/90890-03112
Kabelanschlüsse des
gesamten Zündsystems
kontrollieren.Instand setzen, ggf.
erneuern.
Drosselklappensensor kon-
trollieren.Drosselklap-
pensensor-
SpuleErneuern.
Zündbox kontrollieren.Drosselklap-
pensensor-
Eingangs-
spannungErneuern.
In Ordnung
In Ordnung
Nicht in Ordnung
Nicht in Ordnung
Nicht in Ordnung
DROSSELKLAPPENSENSOR
6 - 19
Page 713 of 786

–+ELEC
SISTEMA TPS (SENSOR DE POSICIÓN DEL ACELERADOR)
PROCEDIMIENTO DE REVISIÓN
Si el TPS no funciona utilice el procedimiento de comprobación siguiente.
NOTA:
Utilice las herramientas especiales siguientes en esta revisión.
Comprobador de bolsillo:
YU-3112-C/90890-03112
Comprobar las conexiones de
todo el sistema de encendido.Reparar o cambiar.
Comprobar el TPS. Bobina del TPS Cambiar.
Comprobar la unidad CDI.Voltaje de
entrada del TPS Cambiar.
Correcto
Correcto
Incorrecto
Incorrecto
Incorrecto
SISTEMA TPS (SENSOR DE POSICIÓN DEL
ACELERADOR)
6 - 19