SSANGYONG KORANDO 1997 Service Repair Manual
Manufacturer: SSANGYONG, Model Year: 1997, Model line: KORANDO, Model: SSANGYONG KORANDO 1997Pages: 2053, PDF Size: 88.33 MB
Page 481 of 2053

M161 ENGINE CONTROLS 1F2 -- 63
D AEW OO M Y_2000
Mass Air Flow Sensor Input Voltage Inspection
1. Turn the ignition switch to “ON” position.
2. Measure the signal voltage between the ECM pin No. 103 and No. 104.
Application
Specified Value
Ignition “ON”0.9 ~ 1.1 v
Engine StatusIdling1.3 ~ 1.7 v
(Coolant temperature is over 70°C)
Notice:If the measured value is not within the specified value, the possible cause may be in cable or MAF sensor in
itself. Perform the 5 volt power supply inspection procedures.
Mass Air Flow Sensor 5 volt Power Supply Inspection
1. Turn the ignition switch to “OFF” position.
2. Disconnect the HFM sensor connector.
3. Turn the ignition switch to “ON” position.
4. Measure the voltage between the ECM pin No. 108 and MAF sensor connecter terminal No. 3.
Specified Value
4.7~5.2v
Notice:If the measured value is not within the specified value, the possible cause may be in cable or ECM coupling.
5. Measure the voltage between the ECM pin No. 105 and MAF sensor connecter terminal No. 4.
Specified Value
4.7~5.2v
Notice:If the measured value is not within the specified value, the possible cause may be in cable or ECM coupling.
Mass Air Flow Sensor 12 volt Power Supply Inspection
1. Turn the ignition switch to “OFF” position.
2. Disconnect the HFM sensor connector.
3. Turn the ignition switch to “ON” position.
4. Measure the voltage between the ECM pin No. 105 and MAF sensor connecter terminal No. 2.
Specified Value
11 ~ 14 v
Notice:If the measured value is not within the specified value, the possible cause may be in cable or Over Voltage
Protection Relay (OVPR).
Page 482 of 2053

1F2 -- 64 M161 ENGINE CONTROLS
D AEW OO M Y_2000
ENGINE COOLANT TEMPERATURE (ECT) SENSOR
YAA1F590
Engine Coolant Temperature (ECT) sensor detects coolant temperature and supplies information to the ECM. It is
composed of metal housing with two NTC resistor, 4 pin connector. The ECM provides a 5 volt signal to the ECT
sensor through a dropping resistor. When the engine is cold, the ECT sensor provides high resistance, which the ECM
detects as a high signal voltage. As the engine warms up, the sensor resistance becomes lower, and the signal voltage
drops. At normal engine operating temperature, the ECT signalwill measure about 1.5 to 2.0 volts.
The ECM uses information about coolant temperature to make the necessary calculations for:
DFuel delivery
DIgnition control
DKnock sensor system
DIdle speed
DTorque converter clutch application
DCanister purge
DCooling fan operation
DOthers
Page 483 of 2053

M161 ENGINE CONTROLS 1F2 -- 65
D AEW OO M Y_2000
Temperature (°C)Resistance (Ω)Vo l t a g e ( V)Te m pe r a t ur e (°C)Resistance (Ω)Vo l t a g e ( V)
-- 4 048,5504.90605941.86
-- 3 027,0004.82704341.51
-- 2 015,5704.70803221.22
-- 1 09,4504.52902430.98
05,8904.431001850.78
103,7903.961101430.63
202,5003.57120111. 60.50
301,6923.14130880.40
401,1702.7014071.20.33
508262.26------
YAA1F610
Page 484 of 2053

1F2 -- 66 M161 ENGINE CONTROLS
D AEW OO M Y_2000
KAB1F260
Failure
CodeDescriptionTrouble AreaMaintenance Hint
00
Engine coolant
temperature sensor low
voltageECT sensor short circuit to
ground or open
01
Engine coolant
temperature sensor high
voltageECT sensor short circuit to
power
DMonitoring the actual coolant
temperaturethroughscantool
02
Engine coolant
temperature sensor
plausibilityMalfunction in recognition of
ECT
When drop to about 50°C
below after warm uptemperaturethroughscantool
DInspection the ECM pin 78, 79 about
short circuit or open with bad contact
DInspection the ECT sensor
DIns
pection the ECM
06
Engine coolant
temperature insufficient
for closed loop fuel
controlMalfunction in recognition of
ECT
When minimum temperature
for lambda control after warm
up
DInspectiontheECM
Circuit Description
The ECT sensor uses a thermistor to control the signal voltage to the ECM. The ECM supplies a voltage on the signal
circuit to the sensor. When the engine coolant is cold, the resistance is high; therefore the ECT signal voltagewill be
high
Engine Coolant Temperature Sensor Inspection
1. Turn the ignition switch to “ON” position.
2. Measure the voltage between the ECM pin No. 78 and No. 79.
Temperature (°C)
Specified Value (V)
203.57
801.22
1000.78
Page 485 of 2053

M161 ENGINE CONTROLS 1F2 -- 67
D AEW OO M Y_2000
3. Turn the ignition switch to “OFF” position.
4. Disconnect the ECT sensor connector.
5. Turn the ignition switch to “ON” position.
6. Measure the resistance between the ECT sensor terminal pin No. 1 and No. 4.
Temperature (°C)
Specified Value (Ω)
202,500
80322
100185
Notice:Replace wiring and coolant temperature sensor if out of specified value.
Page 486 of 2053

1F2 -- 68 M161 ENGINE CONTROLS
D AEW OO M Y_2000
ACCELERATOR PEDAL MODULE
YAA1F620
The Acceleration Pedal Position (APP) sensor is mounted on the accelerator pedal assembly. The sensor is actually
two individual APP sensors and one housing. This sensor works with the Throttle Position (TP) sensor to provide input
to the Engine Control Module (ECM) regarding driver requested accelerator pedal and throttle angle at the throttle
body.
When the APP sensor is defected:
When the APP 1 or APP 2 sensor is defected condition, the engine is still running at idle condition but, the accelerator
pedal reaction is not response correctly and also, the engine rpmwill be reacted to 4,000 rpm slowly. If the APP 1
sensor is out of order, the APP 2 sensor will be conducted with signal as a default signal but, the throttle valve opening
is limited 60% and delayed opening speed.
When the TP sensor or servo motor is defected:
When the TP 1, 2 sensor or servo motor is defected condition, the throttle valvewill be closed to the spring capsule by
spring force, at this condition, the throttle valvewillopen 10°~20°and engine rpmwill be controlled by ECM will
opening (On/Off) time of injector. Theengine rpmwill be maintaining 900 rpm (at idle) to 1,800 according to theengine
load.
Page 487 of 2053

M161 ENGINE CONTROLS 1F2 -- 69
D AEW OO M Y_2000
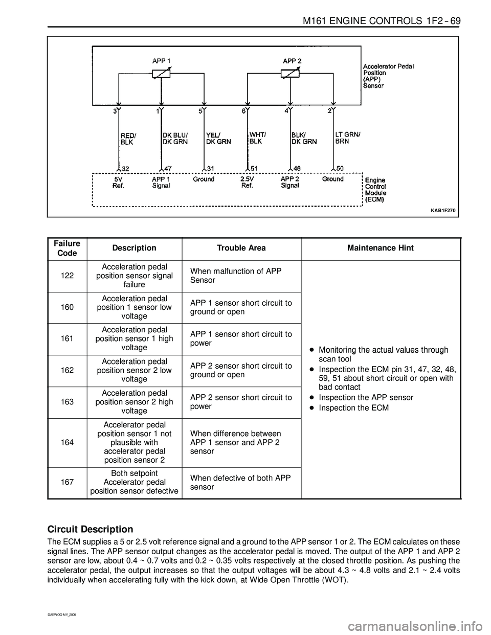
KAB1F270
Failure
CodeDescriptionTrouble AreaMaintenance Hint
122
Acceleration pedal
position sensor signal
failureWhen malfunction of APP
Sensor
160
Acceleration pedal
position 1 sensor low
voltageAPP 1 sensor short circuit to
ground or open
161
Acceleration pedal
position sensor 1 high
voltageAPP 1 sensor short circuit to
power
DMonitoring the actual values through
162
Acceleration pedal
position sensor 2 low
voltageAPP 2 sensor short circuit to
ground or open
Monitoringtheactualvaluesthrough
scan tool
DInspection the ECM pin 31, 47, 32, 48,
59, 51 about short circuit or open with
badcontact
163
Acceleration pedal
position sensor 2 high
voltageAPP 2 sensor short circuit to
power
badcontact
DInspection the APP sensor
DInspection the ECM
164
Accelerator pedal
position sensor 1 not
plausible with
accelerator pedal
position sensor 2
When difference between
APP 1 sensor and APP 2
sensor
167
Both setpoint
Accelerator pedal
position sensor defectiveWhen defective of both APP
sensor
Circuit Description
The ECM supplies a 5 or 2.5 volt reference signal and a ground to the APP sensor 1 or 2. The ECM calculates on these
signal lines. The APP sensor output changes as the accelerator pedal is moved. The output of the APP 1 and APP 2
sensor are low, about 0.4 ~ 0.7 volts and 0.2 ~ 0.35 volts respectively at the closed throttle position. As pushing the
accelerator pedal, the output increases so that the output voltageswill be about 4.3 ~ 4.8 volts and 2.1 ~ 2.4 volts
individually when accelerating fully with the kick down, at Wide Open Throttle (WOT).
Page 488 of 2053

1F2 -- 70 M161 ENGINE CONTROLS
D AEW OO M Y_2000
Acceleration Pedal Position Sensor 1 Inspection
1. Turn the ignition switch to “ON” position.
2. Measure the signal voltage between the ECM pin No. 47 and No. 31 while operating the accelerator pedal as follow-
ing conditions.
DNot depress the pedal (closed throttle position)
DFully depress the pedal (full throttle with kick down)
Condition of Throttle Valve
Specified Value (V)
Closed Throttle Valve0.3 ~ 0.7
Fully Depressed Throttle Valve4.3 ~ 4.8
Notice:If measured value is not within the specified value, check the pedal valve sensor and the supply voltage to
APP 1 sensor.
Acceleration Pedal Position Sensor 2 Inspection
1. Turn the ignition switch to “ON” position.
2. Measure the signal voltage between the ECM pin No. 48 and No. 50 while operating the accelerator pedal as follow-
ing conditions.
DNot depress the pedal (closed throttle position)
DFully depress the pedal (full throttle with kick down)
Condition of Throttle Valve
Specified Value (V)
Closed Throttle Valve0.1 ~ 0.4
Fully Depressed Throttle Valve2.1 ~ 2.5
Notice:If measured value is not within the specified value, check the pedal valve sensor and the supply voltage to
APP sensor 2.
Page 489 of 2053

M161 ENGINE CONTROLS 1F2 -- 71
D AEW OO M Y_2000
BLANK
Page 490 of 2053

1F2 -- 72 M161 ENGINE CONTROLS
D AEW OO M Y_2000
COOLING FAN
KAB1F290
Failure
CodeDescriptionTrouble AreaMaintenance Hint
44Cooling fan (HI) relay
short circuit to powerCooling fan short circuit to
powerDInspection the Engine Control Module
(ECM) pin 35 about short circuit or
openwithbadcontact
45
Cooling fan (HI) relay
short circuit to ground or
openCooling fan short circuit to
ground or open
openwithbadcontact
DInspection the power source
DInspection the cooling fan
DInspection the ECM
Circuit Description
Ignition voltage is supplied directly to the cooling fan relay coil. The ECM controls the relay by grounding the control
circuit. When the ECM is commanding a command ON, the voltage of the control circuit should be low (near 0 volt).
When the ECM is commanding the control circuit should be high (near battery voltage). If the fault detection circuit
senses a voltage other than what is expected, the fault line status will change causing the fault code to set.