TOYOTA RAV4 2019 Manuale duso (in Italian)
Manufacturer: TOYOTA, Model Year: 2019, Model line: RAV4, Model: TOYOTA RAV4 2019Pages: 644, PDF Dimensioni: 198.45 MB
Page 181 of 644

181
3 3-1. Informazioni sulle chiavi
Prima di mettersi alla guida
Page 182 of 644

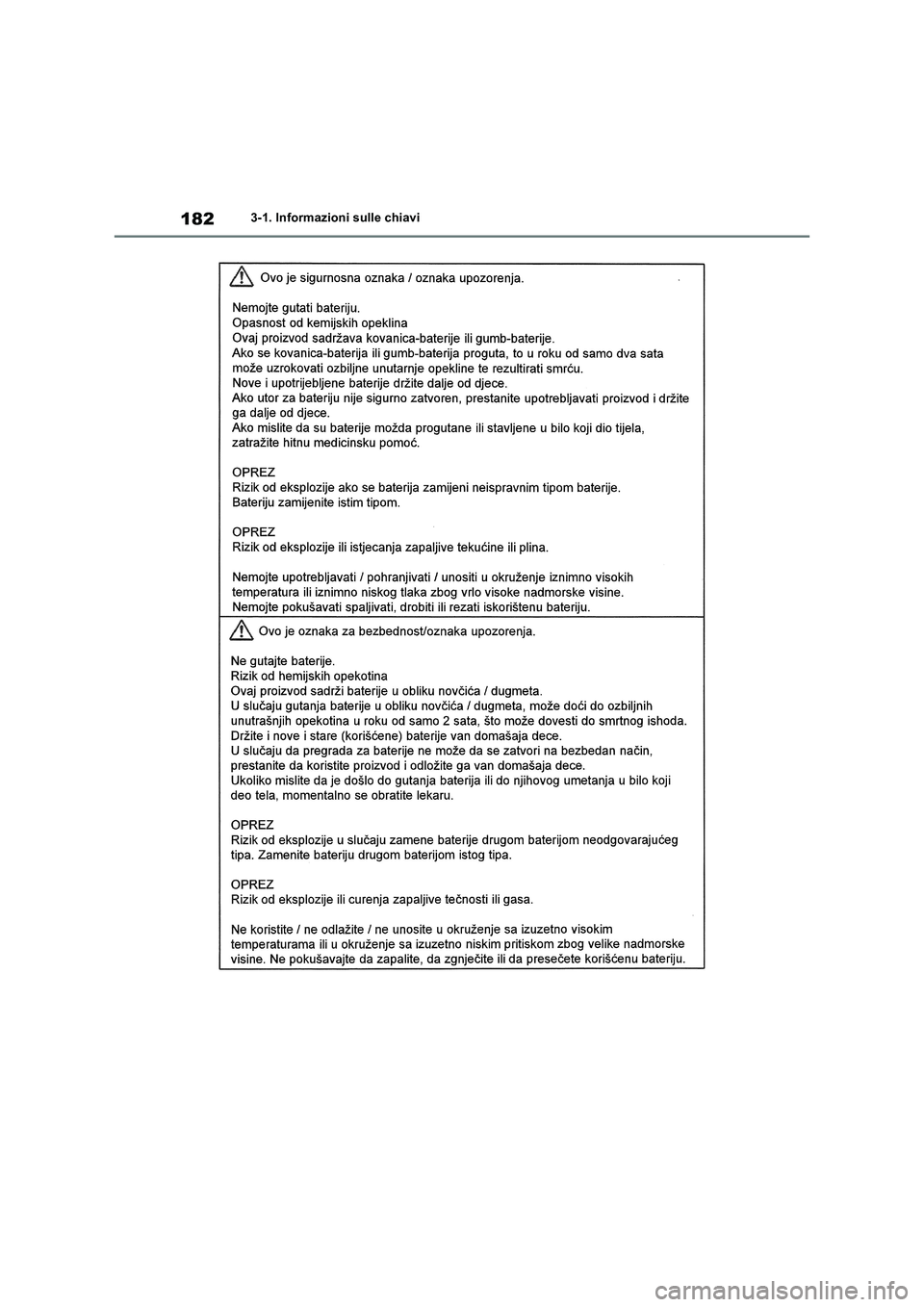
1823-1. Informazioni sulle chiavi
Page 183 of 644

183
3 3-1. Informazioni sulle chiavi
Prima di mettersi alla guida
Page 184 of 644

1843-1. Informazioni sulle chiavi
Page 185 of 644

185
3 3-1. Informazioni sulle chiavi
Prima di mettersi alla guida
Page 186 of 644

1863-1. Informazioni sulle chiavi
Per i veicoli commercializzati in Serbia
Per i veicoli commercializzati in Ucraina
Page 187 of 644

187
3 3-1. Informazioni sulle chiavi
Prima di mettersi alla guida
Per i veicoli commercializzati in Israele
Per estrarre la chiave meccanica, fare
scorrere la leva di sbloccaggio ed
estrarre la chiave.
La chiave meccanica è scanalata su un solo
lato e può pertanto essere inserita in un
unico verso. Se non si riesce a inserire la
chiave nel cilindretto della serratura, girarla
e riprovare.
Dopo l’uso, riporre la chiave meccanica
all’interno di quella elettronica. Tenere sem-
pre la chiave meccanica insieme a quella
elettronica. Se la pila della chiave elettronica
si scarica o la funzione di accesso non fun-
ziona correttamente, occorrerà utilizzare la
chiave meccanica. (P.585)
■Quando è necessario lasciare la chiave
al guardiano di un parcheggio
Bloccare il vano portaoggetti come richiesto
dalle circostanze. (P.459)
Rimuovere la chiave meccanica per uso per-
sonale e consegnare al custode soltanto la
chiave elettronica.
■Se si perdono le chiavi
P.584
■Se si utilizza una chiave sbagliata
Il cilindretto chiave ruota a vuoto isolando il
meccanismo interno.
Uso della chiave meccanica
A
Page 188 of 644

1883-2. Apertura, chiusura e bloccaggio delle porte
3-2.Apertura, c hiusura e b loc cagg io delle porte
■Utilizzo della funzione di accesso
(veicoli con sistema di accesso e
avviamento intelligente dotati di
funzione di accesso)
Portare con sé la chiave elettronica per
abilitare questa funzione.
1 Afferrare la maniglia della portiera
anteriore per sbloccare le porte.
Accertarsi di toccare il sensore sul retro
della maniglia.
Dopo essere state bloccate, le porte non
possono essere sbloccate per 3 secondi.
2 Toccare il sensore di bloccaggio (la
tacca sulla parte superiore della
maniglia della porta) per bloccare le
porte.
Controllare che la portiera sia saldamente
bloccata.
■Utilizzo del radiocomando a
distanza
1 Blocca tutte le porte
Controllare che la portiera sia saldamente
bloccata.
Mantenere premuto per chiudere i finestrini
laterali e il tetto apribile panoramico (se in
dotazione).*
2 Sblocca tutte le porte
Mantenere premuto per aprire i finestrini
laterali e il tetto apribile panoramico (se in
dotazione).*
*: per personalizzare queste impostazioni,
rivolgersi a un concessionario o un’offi-
cina autorizzata Toyota, o a un’altra offi-
cina di fiducia.
■Commutazione della funzione di sbloc-
caggio porte (veicoli con sistema di accesso e avviamento intelligente dotati di funzione di accesso)
Con il radiocomando a distanza si può impo-
stare quali porte vengono sbloccate dalla fun- zione di accesso.
1 Portare l’interruttore di alimentazione su OFF.
2 Disattivare i sensori anti-intrusione e di
inclinazione del sistema di allarme per evitare l’attivazione involontaria
dell’allarme durante la modifica delle impostazioni. (se in dotazione) ( P.121)
3 Mentre la spia sulla superficie della chiave è spenta, mantenere premuto
Portiere
Le porte del veicolo possono
essere bloccate e sbloccate con la
funzione di accesso, il radioco-
mando a distanza o l’interruttore
chiusura centralizzata.
Sbloccaggio e bloccaggio delle
porte dall’esterno
Page 189 of 644

189
3 3-2. Apertura, chiusura e bloccaggio delle porte
Prima di mettersi alla guida
o per circa 5 secondi
mentre si mantiene premuto .
L’impostazione cambia ogni volta che si ese-
gue un’operazione, come illustrato sotto.
(Quando si cambia l’impostazione di conti-
nuo, rilasciare i pulsanti, aspettare almeno
5 secondi, e ripetere l’operazione 3).
Veicoli con allarme: per evitare l’attivazione
involontaria dell’allarme, sbloccare le porte
usando il radiocomando a distanza e aprire e
chiudere una volta una porta dopo aver modi-
ficato le impostazioni. (Se non si apre una
porta entro 30 secondi dopo aver premuto
, le porte si bloccheranno di nuovo e
l’allarme verrà armato automaticamente).
Se l’allarme si attiva, spegnerlo immediata-
mente. (P.120)■Sistema di sbloccaggio delle portiere in
caso di rilevamento d’urto
Se il veicolo subisce un impatto violento, tutte
le porte vengono sbloccate. Tuttavia, a
seconda della forza dell’impatto o del tipo di
incidente, il sistema potrebbe non attivarsi.
■Segnali di funzionamento
Porte: Le luci di emergenza lampeggiano per
segnalare che le porte sono state bloc-
cate/sbloccate usando la funzione di accesso
(se in dotazione) o il radiocomando a
distanza. (Bloccate: una volta; sbloccate: due
volte)
Finestrini laterali e tetto apribile panoramico
(se in dotazione): un cicalino suona per
segnalare che i finestrini laterali e il tetto apri-
bile panoramico sono stati attivati mediante il
radiocomando a distanza.
■Funzione di sicurezza
Se non si apre una porta entro circa
30 secondi dallo sbloccaggio delle porte con
la funzione di accesso (se in dotazione) o con
il radiocomando a distanza, la funzione di
sicurezza blocca di nuovo automaticamente
le porte del veicolo. (Tuttavia, a seconda
della posizione della chiave elettronica, il
sistema potrebbe rilevare la chiave all’interno
del veicolo. In questo caso, le porte del vei-
colo potrebbero essere sbloccate).
■Quando la porta non può essere bloc-
cata con il sensore di bloccaggio sulla
parte superiore della maniglia (veicoli
con sistema di accesso e avviamento
intelligente dotati di funzione di
accesso)
Se la portiera non si blocca neanche quando
viene toccata l’area superiore del sensore,
provare a toccare contemporaneamente sia
l’area superiore che quella inferiore del sen-
sore.
Se si indossano guanti, rimuoverli.
Display multi-infor-
mazioni/segnale
acusticoFunzione di sbloccag-
gio
(Veicoli con guida a
sinistra)
(Veicoli con guida a
destra)
Esterno: suona 3 volte
Interno: suona una
campanella
Afferrando la maniglia
della portiera del con-
ducente si sblocca
solo la portiera del
conducente.
Afferrando la maniglia
della portiera del pas-
seggero anteriore o
premendo l’interrut-
tore di apertura del
portellone posteriore
si sbloccano tutte le
porte.
Esterno: suona due
volte
Interno: suona una
campanella
Afferrando la maniglia
di una portiera ante-
riore o premendo
l’interruttore di aper-
tura del portellone
posteriore si sbloc-
cano tutte le porte.
Page 190 of 644

1903-2. Apertura, chiusura e bloccaggio delle porte
■Cicalino bloccaggio porte
Se si tenta di bloccare le porte tramite la fun- zione di accesso (se in dotazione) o il radio-comando a distanza quando una porta non è
completamente chiusa, un cicalino suonerà ininterrottamente per 5 secondi. Chiudere completamente la porta per arrestare il cica-
lino e bloccare di nuovo le porte del veicolo.
■Come armare l’allarme (se in dotazione)
Bloccando le porte verrà armato l’impianto di allarme. ( P.120)
■Condizioni che influenzano il funziona- mento del sistema di accesso e avvia-
mento intelligente o del radiocomando a distanza
P.209
■Se il sistema di accesso e avviamento intelligente o il radiocomando a
distanza non funzionano correttamente
●Usare la chiave meccanica per bloccare e
sbloccare le porte. ( P.585)
●Sostituire la pila esaurita della chiave con
una nuova. ( P.524)
■Se la batteria da 12 volt è scarica
Le porte non possono essere bloccate e sbloccate con il sistema di accesso e avvia-mento intelligente o il radiocomando a
distanza. Bloccare o sbloccare le porte utiliz- zando la chiave meccanica. ( P.585)
■Personalizzazione
Le impostazioni (ad es. la funzione di sbloc- caggio mediante chiave) possono essere
modificate. (Funzioni personalizzabili: P.612)
AVVISO
■Per evitare incidenti
Durante la guida del veicolo, osservare le seguenti precauzioni.L’inosservanza di tali precauzioni può pro-
vocare l’apertura di una portiera e la caduta all’esterno dell’occupante, con il rischio di lesioni gravi, anche letali.
●Accertarsi che tutte le portiere siano
chiuse correttamente.
●Non tirare la maniglia interna delle por- tiere quando il veicolo è in marcia.
Prestare particolare attenzione alle por- tiere anteriori, perché possono essere aperte anche se i pulsanti di bloccaggio
interni sono in posizione di bloccaggio.
●Inserire il bloccaggio di sicurezza per bambini delle portiere posteriori quando
ci sono bambini sui sedili posteriori.
■Quando si apre o si chiude una porta
Controllare l’area circostante al veicolo per verificare che non ci si trovi su un pendio,
che ci sia spazio sufficiente per aprire la porta e che non ci sia vento forte. Quando si apre o si chiude una porta, tenere salda-
mente la maniglia per prevenire eventuali movimenti imprevisti.
■Quando si utilizza il radiocomando a
distanza o la chiave meccanica e si azionano gli alzacristalli elettrici o il tetto apribile panoramico (se in dota-
zione)
Azionare l’alzacristalli elettrico o il tetto apribile panoramico dopo avere verificato che nessuno dei passeggeri corra il rischio
di avere una parte del corpo intrappolata dal cristallo del finestrino laterale o dal tetto apribile panoramico. Inoltre, non per-
mettere ai bambini di usare il radioco- mando a distanza o la chiave meccanica. È possibile che parti del corpo di un bam-
bino o di altri passeggeri vengano schiac- ciate dal finestrino laterale o dal tetto apribile panoramico.