TOYOTA HILUX 2020 Manuale duso (in Italian)
Manufacturer: TOYOTA, Model Year: 2020,
Model line: HILUX,
Model: TOYOTA HILUX 2020
Pages: 784, PDF Dimensioni: 135.14 MB
TOYOTA HILUX 2020 Manuale duso (in Italian)
HILUX 2020
TOYOTA
TOYOTA
https://www.carmanualsonline.info/img/14/48626/w960_48626-0.png
TOYOTA HILUX 2020 Manuale duso (in Italian)
Trending: navigation system, service, reset, AUX, manual transmission, ESP, cruise control
Page 361 of 784

3614-5. Uso dei sistemi di assistenza alla guida
4
Guida
HILUX_OM_OM71284L_(EL)
AVVISO
■Per evitare anomalie di funzionamento del sensore radar
Osservare le seguenti precauzioni.
In caso contrario, il sensore radar potrebbe non funzionare correttamente, causando
eventualmente un incidente con lesioni gravi, anche letali.
● Tenere sempre puliti il sensore radar e la relativa protezione.
● Non attaccare accessori, adesivi (anche se trasparenti) o altri oggetti al sensore
radar, alla sua protezione o alla zona circostante.
● Evitare che il sensore radar o l’area circostante subiscano urti violenti.
Se il sensore radar, la griglia anteriore o il paraurti anteriore hanno subito un forte
impatto, far controllare il veicolo presso un concessionario o un’officina autorizzata
Toyota, o presso un’altra officina di fiducia.
● Non smontare il sensore radar.
● Non alterare né verniciare il sensore radar o la relativa protezione.
● Nei seguenti casi, il sensore radar deve essere ricalibrato. Per ulteriori informa-
zioni, rivolgersi a un concessionario o un’officina autorizzata Toyota, o a un’altra
officina di fiducia.
• Quando il sensore radar o la griglia anteriore vengono smontati e rimontati, o
sostituiti
• Quando il paraurti anteriore viene sostituito
Sensore radar
Protezione del sensore radar
Se la parte anteriore del sensore radar o la
parte anteriore o posteriore della sua prote-
zione è sporca o coperta da gocce d’acqua,
neve, ecc., pulirla.
Pulire il sensore radar e la relativa prote-
zione con un panno morbido per non dan-
neggiarli.
1
2
Page 362 of 784

3624-5. Uso dei sistemi di assistenza alla guida
HILUX_OM_OM71284L_(EL)
AVVISO
■Per evitare anomalie della telecamera anteriore
Osservare le seguenti precauzioni.
In caso contrario, la telecamera anteriore potrebbe non funzionare correttamente,
causando incidenti con lesioni gravi, anche letali.
● Mantenere il parabrezza sempre pulito.
• Se il parabrezza è sporco o ricoperto da una pellicola oleosa, gocce d’acqua,
neve, ecc., pulirlo.
• Anche se il parabrezza è ricoperto da un prodotto di rivestimento per vetri, si
dovranno comunque utilizzare i tergicristalli per rimuovere le gocce d’acqua o
altro dall’area del parabrezza di fronte al sensore a telecamera.
• Se la parte interna del parabrezza dove è installata la telecamera anteriore è
sporca, rivolgersi a un concessionario o un’officina autorizzata Toyota, o a
un’altra officina di fiducia.
● Se l’area del parabrezza davanti alla telecamera anteriore è appannata o ricoperta
di condensa o ghiaccio, usare lo sbrinatore parabrezza per rimuovere l’appanna-
mento, la condensa o il ghiaccio. ( P. 545, 553)
● Se non si riesce a rimuovere adeguatamente le gocce d’acqua dall’area del para-
brezza davanti alla telecamera anteriore con i tergicristalli, sostituire i gommini o le
spazzole del tergicristallo.
● Non applicare filtri solari sul parabrezza.
●Non attaccare oggetti quali adesivi, anche
trasparenti, o simili sul lato esterno del para-
brezza davanti alla telecamera anteriore
(area ombreggiata indicata nella figura).
A: dal bordo superiore del parabrezza a
1 cm circa al di sotto della telecamera ante-
riore
B: 20 cm circa (10 cm circa a destra e a
sinistra dal centro della telecamera ante-
riore)
Page 363 of 784

3634-5. Uso dei sistemi di assistenza alla guida
4
Guida
HILUX_OM_OM71284L_(EL)
AVVISO
●Sostituire il parabrezza se è danneggiato o incrinato.
Dopo aver sostituito il parabrezza, la telecamera anteriore deve essere ricalibrata.
Per ulteriori informazioni, rivolgersi a un concessionario o un’officina autorizzata
Toyota, o a un’altra officina di fiducia.
● Evitare che liquidi entrino a contatto con la telecamera anteriore.
● Evitare che luci intense puntino direttamente verso la telecamera anteriore.
● Non sporcare o danneggiare la telecamera anteriore.
Quando si pulisce il lato interno del parabrezza, evitare che il detergente per vetri
entri a contatto con la lente della telecamera anteriore. Evitare inoltre di toccare la
lente.
Se la lente è sporca o danneggiata, rivolgersi a un concessionario o un’officina
autorizzata Toyota, o a un’altra officina di fiducia.
● Non sottoporre la telecamera anteriore a urti violenti.
● Non modificare la posizione di montaggio o l’orientamento della telecamera ante-
riore, né rimuoverla.
● Non smontare la telecamera anteriore.
● Non modificare alcun componente del veicolo attorno alla telecamera anteriore
(specchietto retrovisore interno, ecc.) o al soffitto.
● Non installare alcun accessorio sul cofano, sulla griglia anteriore o sul paraurti
anteriore, che potrebbe coprire la telecamera anteriore. Per ulteriori informazioni,
rivolgersi a un concessionario o un’officina autorizzata Toyota, o a un’altra officina
di fiducia.
● Se si desidera trasportare sul tetto una tavola da surf o un altro oggetto lungo, veri-
ficare che non copra la telecamera anteriore.
● Non modificare i fari o le altre luci.
Page 364 of 784
3644-5. Uso dei sistemi di assistenza alla guida
HILUX_OM_OM71284L_(EL)
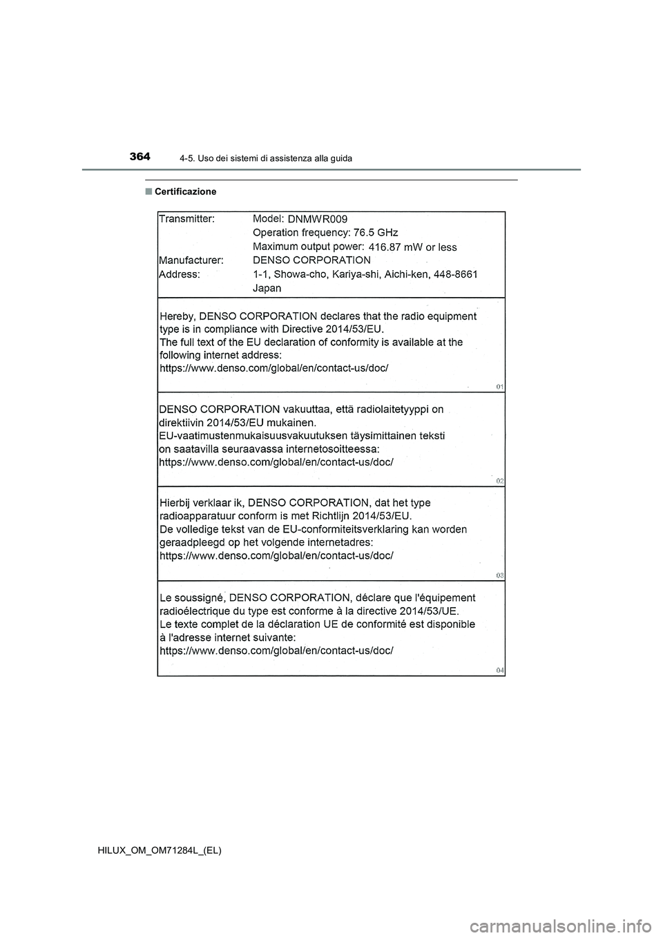
■Certificazione
Page 365 of 784
3654-5. Uso dei sistemi di assistenza alla guida
4
Guida
HILUX_OM_OM71284L_(EL)
Page 366 of 784
3664-5. Uso dei sistemi di assistenza alla guida
HILUX_OM_OM71284L_(EL)
Page 367 of 784
3674-5. Uso dei sistemi di assistenza alla guida
4
Guida
HILUX_OM_OM71284L_(EL)
Page 368 of 784
3684-5. Uso dei sistemi di assistenza alla guida
HILUX_OM_OM71284L_(EL)
Page 369 of 784
3694-5. Uso dei sistemi di assistenza alla guida
4
Guida
HILUX_OM_OM71284L_(EL)
Page 370 of 784
3704-5. Uso dei sistemi di assistenza alla guida
HILUX_OM_OM71284L_(EL)
Per i veicoli commercializzati in Ucraina
Per i veicoli commercializzati in Moldavia
Per i veicoli commercializzati in Moldavia
MODELLO:
Trending: remote control, lock, automatic transmission fluid, automatic transmission, pairing phone, key, display